登录

科学网—重磅!低温+高压=长寿!揭秘锂离子电池预循环效应成败关键!-清华大学出版社学术期刊的博文


速读:此外,对单层电池的失效分析显示,经过预循环的电池负极表面存在较厚的沉积层,该沉积层可归因于锂沉积及相关电解液反应产物。 (b)前50次循环期间,基准单层电池(60°C循环)与经5°C预循环电池的库仑效率分析。 单层电池负极的宏观照片(上排)、光学显微镜图像(中排)及扫描电子显微镜(SEM)图像(下排),分别为:(a)基准电池; 多层预循环电池的照片:(a)循环测试前; 单层电池直流内阻与循环次数的关系图:测试条件为放电(a)初段10秒及(b)末段10秒。
重磅!低温+高压=长寿!揭秘锂离子电池预循环效应成败关键! 精选

已有 258 次阅读

2026-3-31 10:15

| 个人分类: 能源材料与器件 | 系统分类: 论文交流

image.png

https://doi.org/10.26599/EMD.2025.9370078

1 导读

本文报道了一个有趣的现象:锂离子电池在低温下的预循环处理引发的锂沉积,反而能减少电池在高温下的衰减并延长其循环寿命。本研究在单层电池与多层电池中均验证了这一现象。结果表明,多层电池必须在循环过程中保持约束压力,该现象才会出现。若没有压力约束,低温预循环反而会加速多层电池在高温下的性能衰减。这一发现有助于澄清先前关于低温预循环效果研究中存在的矛盾。通过比较1C与0.2C充电速率下的低温预循环效果,确认了由低温预循环诱导的锂沉积是产生上述积极效果的必要条件。此外,对单层电池的失效分析显示,经过预循环的电池负极表面存在较厚的沉积层,该沉积层可归因于锂沉积及相关电解液反应产物。

2 背景介绍

降低性能衰减是锂离子电池在各种应用场景下面临的一项重大挑战。这种衰减可能源于电极与电解质在界面处的副反应、活性物质的损失以及电极组分(如粘结剂、集流体、活性材料等)的退化。在正极侧,衰减主要由电极微裂纹和金属溶出引起。在负极侧,衰减则主要归因于固体电解质界面膜(SEI)的生长和锂析出。SEI的生长不仅消耗活性锂,导致锂库存损失和容量衰减,还会增加电池阻抗,引起功率下降。充电过程中的锂析出以及放电过程中的锂 stripping 会导致非活性锂的形成,加速锂库存的损失和容量衰减。此外,SEI的生长会降低负极孔隙率,进而诱发锂析出,导致加速老化并缩短循环寿命。由于反应和物质传输过程均与温度密切相关,锂离子电池在极端温度下的衰减会进一步加剧。在高温(例如高于 40 °C)下,负极与电解质之间的反应加快,会加速SEI的生长。同时,正极因金属溶出导致的衰减也会加速。在低温(例如低于 10 °C)下,由于负极活性材料颗粒内部固相扩散缓慢,其表面容易发生锂析出。

鉴于温度的重要影响,已有大量研究探讨锂离子电池在不同温度下的衰减行为。例如,Waldmann 等人通过电化学方法和失效分析,实验量化了-20°C至70°C温度范围内18650型高功率锂离子电池的衰减特性。这些研究普遍证实:低温循环会导致锂析出,高温循环会加速SEI生长,而室温循环的衰减程度最轻。然而,大多数研究都是在循环测试期间保持环境温度恒定的条件下进行的,或固定于高温以聚焦SEI生长,或固定于低温以研究锂析出。目前,关于锂离子电池在循环过程中环境温度在低温和高温之间切换的衰减实验研究还很少见。

本课题组前期的初步研究发现,低温预循环反而能减轻单层软包电池后续的高温衰减。然而,其他研究团队的结果却与此相悖,指出低温预循环会加剧高温下的容量衰减和电池鼓胀。另有研究虽探讨了温度切换的影响,却未能清晰揭示预循环与后续高温衰减之间的因果关系。对比上述研究可知,低温预循环对锂离子电池高温衰减的影响在不同研究之间存在不一致之处。本研究旨在通过进一步分析我们前期的单层电池实验结果,并对多层软包锂离子电池进行系统性研究,以澄清这种影响。此外,本文还研究了压力的影响——这对于循环多层软包电池至关重要,而此前的研究均未涉及该因素。

3 图文介绍

image001.png

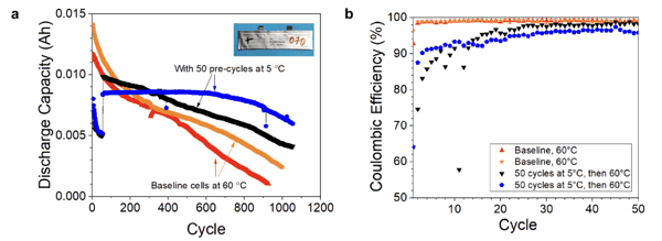
图1. (a) 基准单层电池(60°C循环)与经5°C预循环后转至60°C循环的单层电池的放电容量随循环次数变化曲线。经许可转载,©2022 ECS - The Electrochemical Society。(b) 前50次循环期间,基准单层电池(60°C循环)与经5°C预循环电池的库仑效率分析。

image003.png

图2. 单层电池直流内阻与循环次数的关系图:测试条件为放电 (a) 初段10秒及 (b) 末段10秒。

image005.png

图3. (a) 无压缩条件下,基准多层电池(于45°C循环)与经5°C预循环后转至45°C循环的多层电池的放电容量随循环次数变化曲线;(b) 无压缩条件下,多层电池在放电开始时10秒内的直流内阻随循环次数的变化。

image007.png

图4. 多层预循环电池的照片:(a) 循环测试前;(b) 温度切换至45°C后;以及 (c) 作为对比的基准电池在循环测试后。

image009.png

图5. (a) 在施加压缩的条件下,基准多层电池(于45°C循环)与分别采用1C充电/1C放电、0.2C充电/1C放电两种模式在5°C预循环后转至45°C循环的多层电池,其放电容量随循环次数的变化曲线;(b) 由冷却板提供压缩的两块多层电池照片;(c-e) 循环测试后的电池照片,分别为 (c) 基准电池、(d) 1C预循环电池、(e) 0.2C预循环电池。

image011.png

图6. 多层电池的库仑效率变化曲线:测试条件为施加压缩,数据取自前100次循环。

image013.png

图7. 压缩状态下多层电池的直流内阻-循环次数关系曲线:测量点为放电 (a) 初段10秒及 (b) 末段10秒。

image015.png

图8. 单层电池负极的宏观照片(上排)、光学显微镜图像(中排)及扫描电子显微镜(SEM)图像(下排),分别为:(a) 基准电池;(b) 经预循环的电池;(c) 在5°C下循环200次的电池。可以观察到,白色沉积层几乎完全覆盖了预循环电池及5°C循环电池的整个负极表面。

image017.png

图9. 单层电池正极的宏观照片(上排)、光学显微镜图像(中排)及扫描电子显微镜(SEM)图像(下排),分别为:(a) 基准电池;(b) 经预循环的电池;(c) 在5°C下循环200次的电池。

4 总结与展望

简而言之,本研究对0.2 Ah单层软包锂离子电池进行了低温预循环及后续高温循环测试,发现低温预循环有助于提升电池在高温循环期间的容量保持率。该现象出乎意料,且与其他研究的观测结果相左。为澄清这一矛盾,进一步对3 Ah多层软包电池进行了研究。结果表明,在无外部压力约束时,低温预循环会在电池转入高温循环后导致加速衰减;然而,在施加适当压力的条件下,可观察到低温预循环对高温循环寿命的积极效果。通过对比1C与0.2C充电速率下的低温预循环效果,证实了由低温预循环诱发的锂析出是产生上述积极作用的关键因素。此外,对单层电池的拆解分析显示,经过预循环的电池负极表面覆盖有一层沉积物,推测其为析出的金属锂与电解液发生反应所形成,该沉积层可能有助于抑制后续高温循环中SEI膜的持续生长。

研究结果表明,低温预循环可有效提升锂离子电池在高温环境下的循环稳定性,但该积极效应的实现依赖于特定的机械约束条件与电化学过程。在单层与多层软包电池中均观察到,在施加适当外部压力的条件下,经历低温(如5°C)预循环的电池在后续高温(45°C)循环中表现出更缓慢的容量衰减和更长的循环寿命。对于多层结构的软包电池,若在循环过程中缺乏足够的堆叠压力,低温预循环反而会加速电池在高温下的性能衰退,这一发现合理解释了以往不同研究之间结论不一致的矛盾现象。进一步通过不同充电速率(1C与0.2C)的对比实验,证实低温预循环过程中发生的锂析出反应是产生保护效果的必要条件。拆解分析显示,负极沉积层(推测为锂析出反应产物)可抑制高温SEI生长,是改善电池高温循环性能的关键因素。

本研究强调了机械压力在多层电池衰减行为中的关键作用,为锂离子电池在不同温度场景下的容量衰减机制提供了新的理解,也为优化电池预处理工艺和系统集成设计提供了重要依据。今后需进一步研究该沉积层的组成与形成机制,以深入理解其抑制高温容量衰减的作用机理。

5 通讯作者

image019.png

张光胜(Guangsheng Zhang)

张光胜博士,现任阿拉巴马大学亨茨维尔分校机械与航空航天工程系助理教授。他的研究方向聚焦于电动汽车、航空航天及可再生能源存储应用领域的电池与燃料电池原位诊断及热管理技术。在加入阿拉巴马大学亨茨维尔分校之前,张博士曾于2013年至2017年在宾夕法尼亚州立大学大学公园分校担任研究助理,2011年至2013年在该校从事博士后研究,并于2010年至2011年在罗彻斯特理工学院担任博士后研究员。他于2010年在中国西安交通大学获得动力工程及工程热物理专业博士学位,并于2003年在该校获得热能与动力工程专业工学学士学位及英语专业文学学士(辅修)学位。自2010年以来,他参与了由美国能源部、宾夕法尼亚州环境保护部等联邦和州级机构资助的多个项目,并与宝马、EC Power、福特、通用汽车、江森自控等众多工业伙伴开展了广泛合作。

期刊网址:

https://www.sciopen.com/journal/3005-3315

投稿地址:

https://mc03.manuscriptcentral.com/emd

邮箱:

energymaterdev@tup.tsinghua.edu.cn

微信图片_2026-03-04_105244_232.jpg

微信图片_2026-03-04_105254_592.jpg

转载本文请联系原作者获取授权,同时请注明本文来自清华大学出版社学术期刊科学网博客。 链接地址: https://blog.sciencenet.cn/blog-3534092-1528147.html

上一篇: EMD|北大新材料潘锋/杨卢奕/林海团队:通过 PEI/PI 涂覆调控界面化学,实现高温高压电池稳定运行

主题:衰减|电池|预循环|锂离子电池|多层电池|损失和容量衰减|低温+高压=长寿