FASE亮文解读丨可氧化降解塑料污染对土壤质量及玉米生长的尺寸依赖性效应
FASE 亮文解读丨可氧化降解塑料污染对土壤质量及玉米生长的尺寸依赖性效应
论文标题: Size-dependent effects of oxo-degradable plastic contamination on soil quality and the growth of Zea mays
期刊: Frontiers of Agricultural Science & Engineering
作者:Do Thi Kim THANH, Robert W. BROWN, Martine GRAF, Michaela K. REAY, Charlotte E. M. LLOY D, Gupeng LI, David R. CHADWICK, Davey L. JONES
发表时间:30 Apr 2025
DOI: 10.15302/J-FASE-2025623
微信链接: 点击此处阅读微信文章
农业塑料的应用与问题
Agricultural plastics application and problems
Volume 13 · Number 1 · February 2026
专 辑 文 章 介 绍
· 第三篇 ·
▎论文ID
Size-dependent effects of oxo-degradable plastic contamination on soil quality and the growth of Zea mays
可氧化降解塑料污染对土壤质量及玉米生长的尺寸依赖性效应
文章类型:Research Article
发表年份:2025年
第一作者:Do Thi Kim THANH
通讯作者:Davey L. JONES
Email: d.jones@bangor.ac.uk
作者单位:英国班戈大学
Cite this article :
Do Thi Kim THANH, Robert W. BROWN, Martine GRAF, Michaela K. REAY, Charlotte E. M. LLOYD, Gupeng LI, David R. CHADWICK, Davey L. JONES. Size-dependent effects of oxo-degradable plastic contamination on soil quality and the growth of Zea mays. Front. Agr. Sci. Eng ., 2026, 13(1): 25623 https://doi.org/10.15302/J-FASE-2025623
· 文 章 摘 要 ·
农用塑料地膜成为土壤微塑料污染的重要来源,引发了人们对土壤健康和粮食安全的担忧。可氧化降解塑料 (ODPs) 被视为当前塑料地膜的潜在可持续替代品,但其土壤降解速率及对土壤质量和作物健康的影响尚不明确。本研究评估了不同浓度 (0.01%、0.1%、1%和10%,w/w) 商用d2w ODP微塑料和大塑料在农业土壤中的动态变化及其对玉米生长的影响 (6周)。化学分析显示,该ODP含约0.29%添加剂,主要为抗氧化剂和润滑剂,重金属含量极低。ODP降解主要限于链断裂,仅部分形成含氧基团,羰基指数未增加,且降解速率与土壤浓度呈负相关。总体而言,典型田间塑料污染水平 (0.01%) 对土壤质量或作物生长影响甚微。但较高浓度ODP污染显著改变了土壤pH、电导率、硝酸根浓度和容重。在极高添加量 (10%) 下,微塑料和大塑料均显著抑制植物生长,且微塑料影响更大。细菌群落变化主要由酸杆菌门和芽单胞菌门驱动,大塑料显著改变了群落组成,而微塑料影响较小。研究表明,在现实田间浓度下,短期内ODPs对农业生态系统功能影响不大,但若连续多个种植周期使用,可能在土壤中长期存在并逐渐累积。
· 文 章 亮 点 ·
1. 首次开展ODPs微塑料与大塑料对土壤和植物影响的对比研究。
2. 高剂量 (> 1%) ODP会改变土壤质量,但典型田间施用量影响甚微。
3. 相较于大塑料,微塑料对土壤性质的干扰效应更为显著。
4. 高负荷条件下植株矮化、叶绿素含量下降,但对生物量无显著影响。
5. ODPs埋入土壤6周后降解程度十分有限。
· Graphical abstract ·

· 研 究 内 容 ·
▎引言
可氧化降解塑料 (ODPs) 自20世纪80年代问世以来,作为应对塑料污染的创新方案受到广泛关注。这类塑料添加促氧化剂,可在热或紫外线作用下发生链断裂并生成含氧基团,随后由微生物进一步降解。由于成本与传统塑料相当且初期性能相似,ODPs在农用地膜领域已应用四十余年。但其二次生物降解阶段的实际效果至今未充分验证,反而可能加剧土壤微塑料污染,导致欧盟等地区已立法限制其使用。同时,其在厌氧填埋条件下缓慢降解并产生甲烷的问题,以及金属添加剂的环境风险,也引发了持续争议。
塑料残留物在农业土壤中的累积已成为重大环境问题。常规微塑料 (< 5 mm) 和大塑料 (> 5 mm) 均已被证实对土壤系统产生负面影响:大塑料破坏土壤结构,微塑料则能通过作物进入食物链,影响土壤生物和养分循环。尽管ODPs已在农业中应用,但关于其对土壤质量和植物健康影响的系统评估仍十分有限。
本研究旨在以玉米为模式作物,首次系统探究不同尺寸ODPs对土壤生化特性与植物健康的影响,并解析其化学组成以阐明潜在毒性机制。我们提出三个假设:(1) ODP污染浓度升高会劣化土壤性质;(2) ODPs通过抑制根系生长限制植物发育;(3) 微塑料比大塑料影响更为显著。本研究旨在为制定农业ODP污染阈值提供科学依据。
▎结果
1. 可氧化降解塑料对植株生长的影响
ODP的尺寸和浓度均显著影响玉米地上部生长速率 ( p < 0.001),对收获期叶片叶绿素含量亦有显著影响 ( p < 0.001)。生长抑制效应在第一周即显现。整体而言,宏塑料对株高的抑制作用更明显,但10%高浓度下微塑料与宏塑料效应相近。微塑料提高叶片叶绿素含量,宏塑料无此效应。地上部生物量仅在最高浓度受轻微负面影响 ( p = 0.022,图1)。微塑料显著提高根系生物量 ( p < 0.001),尤其在低浓度 (0.01%) 时促进效应最显著;浓度效应较弱 ( p = 0.048)。

图1 不同浓度ODP大塑料和微塑料污染对玉米 (a) 地上部生物量和 (b) 根系生物量的影响。
植株营养分析显示,塑料尺寸显著影响叶片磷、钾、钙、铁、铜、锰浓度,宏塑料处理通常高于微塑料处理;铁浓度差异最显著,最高浓度下宏塑料处理可达微塑料的4倍。塑料浓度对硫、氯、钾、钙、锰、铁、锌均有显著影响,高浓度普遍改变养分谱,但模式因元素而异。尺寸与浓度对钙、锰、氯、铁存在显著交互效应。
2. 可氧化降解塑料对土壤理化性质的影响
ODP显著影响土壤质量指标,多呈剂量依赖模式。微塑料在所有浓度均提高土壤pH,10%处理增幅达0.98个单位 (图2);宏塑料对pH无显著影响。微塑料导致电导率剂量依赖性升高,最高浓度达对照的2倍;宏塑料影响较小且无一致剂量效应。有机质含量随塑料负荷增加而升高 (未扣除塑料碳源)。

图2 不同浓度ODP大塑料和微塑料污染对 (a) 土壤pH和 (b) 土壤电导率 (EC) 的影响。
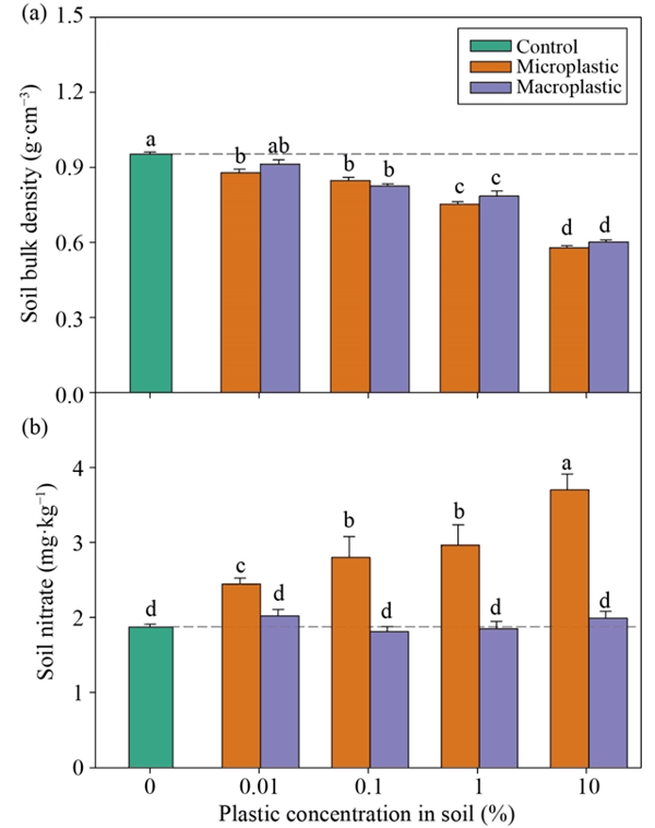
微塑料与宏塑料均显著降低土壤容重,效应随浓度增强,10%处理降至0.59 g·cm -3 (对照0.95 g·cm -3 ,图3),微塑料降低幅度略大于宏塑料。铵态氮和有效磷受影响轻微。硝态氮变化与电导率趋势一致:微塑料呈浓度依赖性升高,宏塑料无显著效应。

图3 不同浓度ODP大塑料和微塑料污染对 (a) 土壤容重和 (b) 土壤硝酸根浓度的影响。
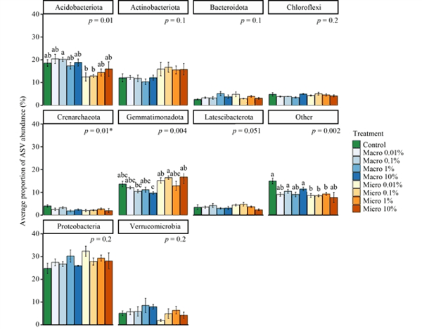
3. 可氧化降解塑料对土壤微生物群落的影响
16S rRNA测序共鉴定22,955个细菌与古菌序列。变形菌门、酸杆菌门、放线菌门和芽单胞菌门为优势类群 (图4)。酸杆菌门 ( H (8) = 20.0, p = 0.01)、泉古菌门 ( H (8) = 18.4, p = 0.02)、芽单胞菌门 ( H (8) = 22.7, p = 0.004) 及其他稀有类群 ( H (8) = 25.1, p = 0.002) 存在显著差异。酸杆菌门呈微弱的微塑料剂量依赖性下降趋势,芽单胞菌门和放线菌门则相反。大塑料0.1%、1%和10%处理的Chao1指数和Shannon多样性指数显著高于对照,微塑料处理与对照无显著差异 (图5)。NMDS分析显示群落结构存在变异 (BetaDisper p = 0.011),仅10%微塑料处理与对照差异显著。

图4 不同塑料类型 (微塑料和大塑料) 和添加量 (0%、0.01%、0.1%、1%、10%, w/w) 处理下16S rRNA代谢条形码细菌群落 ( n = 5)。

图5 不同塑料类型 (微塑料和大塑料) 和添加量 (0%、0.01%、0.1%、1%、10%, w/w) 处理下16S rRNA细菌群落 α 多样性,(a) Chao1指数,(b) Shannon指数,(c) Simpson指数 ( n = 5)。
4. 土壤埋藏后可氧化降解塑料的化学变化
埋藏6周后,0.1%、1%和10%宏塑料处理的红外光谱峰强度相对于对照发生变化 (图6):1032 cm -1 (C – O伸缩振动) 峰强度降低,1461 cm -1 (CH弯曲振动)、2844 cm -1 (CH 2 对称伸缩) 和2915 cm -1 (CH 2 不对称伸缩) 峰强度升高。峰强度变化在0.1%处理最大,随浓度升高而线性减弱 ( R 2 = 0.81 – 0.99)。1700 – 1800 cm -1 (C=O区) 和3200 – 3600 cm -1 (O – H区) 无显著变化,表明氧化降解有限。

图6 (a) 对照组及0.1%、1%、10%塑料处理土壤中埋藏6周后回收塑料的ATR-FTIR光谱,(b) 所选波数峰强相对于对照组的变化百分比。
5. 塑料添加剂
ODP总添加剂含量为2.90 mg·g -1 ,以抗氧化剂为主。三(2,4-二叔丁基苯基)亚磷酸酯 (1.51 mg·g -1 ) 及其氧化产物 (415 μg·g -1 ) 含量最高,其次为初级抗氧化剂octadecyl 3-(3,5-二叔丁基-4-羟基苯基)丙酸酯 (211 μg·g -1 )。润滑剂包括外润滑剂十六烷酸 (435 μg·g -1 )、十八烷酸 (54.5 μg·g -1 ) 和内润滑剂docosenamide (266 μg·g -1 )、oleanitrile (15.0 μg·g -1 )。添加剂降解产物包括2,4-二叔丁基苯酚 (211 μg·g -1 ) 等。C 20 –C 34 线性及支链烷烃/烯烃总量2.22 mg·g -1 。重金属含量极低。
▎讨论
1. 可氧化降解塑料对土壤物理性质的影响
低浓度ODP污染即显著改变土壤物理性质,且影响呈尺寸和浓度依赖性。最显著变化为土壤容重降低,最高浓度下下降达40%,主要源于ODP密度较低 (0.92 g·cm -3 ) 及其形成更大孔隙空间的能力。微塑料对容重影响大于大塑料,因其分布更均匀且更易干扰颗粒间相互作用。影响呈浓度依赖性,阈值效应明显:田间浓度下影响极小,高浓度下物理性质显著改变。
2. 可氧化降解塑料对土壤化学性质及养分有效性的影响
微塑料和大塑料对土壤化学性质的影响机制不同。微塑料处理中pH升高主要归因于添加剂 (如CaCO 3 填料) 释放,而非微生物过程改变。电导率和NO 3 - 同步升高表明氮循环受干扰,归因于pH升高促进硝化作用及通气改善减少反硝化损失。ODP对NH 4 + 和有效P无影响,表明部分养分循环未受干扰。田间浓度下ODP对土壤生物地球化学循环短期影响甚微。
3. 植物对可氧化降解塑料污染的响应
地上部生长仅在 极端 污染水平 (10% w/w) 下受抑制。低浓度微塑料促进根系生长,可能与土壤NO 3 - 和pH升高有关。未发现大塑料对根系产生机械阻抗证据。微塑料处理中叶绿素含量升高表明氮获取能力增强,与多数研究结果相反。无重金属污染背景下,未发现ODP导致叶片金属元素积累的证据。
4. 可氧化降解塑料对土壤微生物群落结构/多样性的影响
群落差异主要由酸杆菌门、芽单胞菌门及其他低丰度门类驱动。α多样性方面,大塑料处理在浓度> 0.01%时Chao1和Shannon指数升高,而微塑料处理无变化,表明6周内ODP未充分降解。pH变化非主要驱动因素,碳输入 (最高达8.56% C) 及塑料表面微生境形成可能对微生物群落产生更大影响。
5. 可氧化降解塑料降解速率与塑料浓度呈负相关
C=O和O – H区域未见峰强增加,表明氧化降解有限,主要归因于紫外线照射缺乏。1032 cm -1 峰强增加表明部分氧化,1461、2844、2915 cm -1 峰强降低表明链断裂发生。抗氧化剂 (0.2% w/w) 抑制氧化进程。峰强变化与ODP浓度负相关,低浓度处理降解程度更高。结果表明ODP在土壤中分解有限,环境持久性远超预期,多个生长季累积可能导致土壤性质逐渐改变。
· 结 论 ·
本研究结果表明,对ODP在农业中的应用应采取预防性原则。降解不完全与潜在累积风险相结合,与近期部分国家限制ODP使用的政策决定相一致。在田间相关浓度下未观察到对植物和土壤健康的急性影响,不应减轻对长期累积风险的担忧。综合考虑,现有证据表明ODP在环境安全性方面可能并不比传统塑料更具优势。虽然ODP是作为塑料污染的创新解决方案被引入的,但本研究结果表明,它反而可能加剧农业微塑料污染的挑战。显然需要进一步研究:(1)评估ODP进入土壤的多种途径;(2) 在更长时间尺度上理解其在田间的分解速率和持久性;(3) 形成纳米塑料和释放添加剂的潜力;(4) 向水体和大气迁移的可能性。
主题:作者|·|尺寸依赖性效应|Size-dependenteffectsofoxo-degradableplasticcontaminationonsoilqualityandthegrowthofZeamays